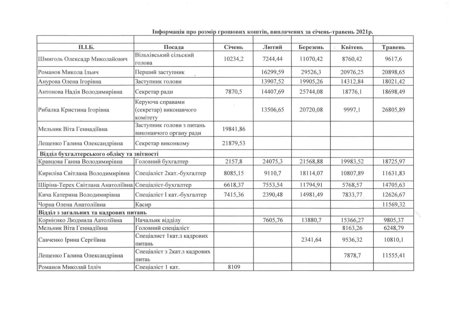
Які зарплати отримують працівники Вільхівської сільради
За травень найбільшу зарплату серед працівників Вільхівської сільської ради отримала керуюча справами виконавчого комітету Кристина Рибалка – 26 тисяч 805 гривень 89 копійок. Понад 20 тисяч гривень за останній місяць весни отримав перший заступник Микола Романов. Йому виплатили 20 тисяч 898 гривень 65 копійок.

У ТОП-5 найбільших зарплат у Вільхівський сільраді увійшли зарплати головного бухгалтера Ганни Кравцової (18 тисяч 725 тисяч 97 гривень), секретаря ради Надії Антонової (18 тисяч 698 гривень 49 копійок) та заступника голови Олени Анурової. Заступник голови Анурова О. І. – 18 тисяч 21 гривня 42 копійки.

Читайте також: Скільки заробляють працівники Безлюдівської громади
Цікаво, що зарплата Вільхівського сільського голови Олександра Шмиголя на порядок скромніша за вищеперераховані. За травень він отримав 9 тисяч 617 гривень 60 копійок.

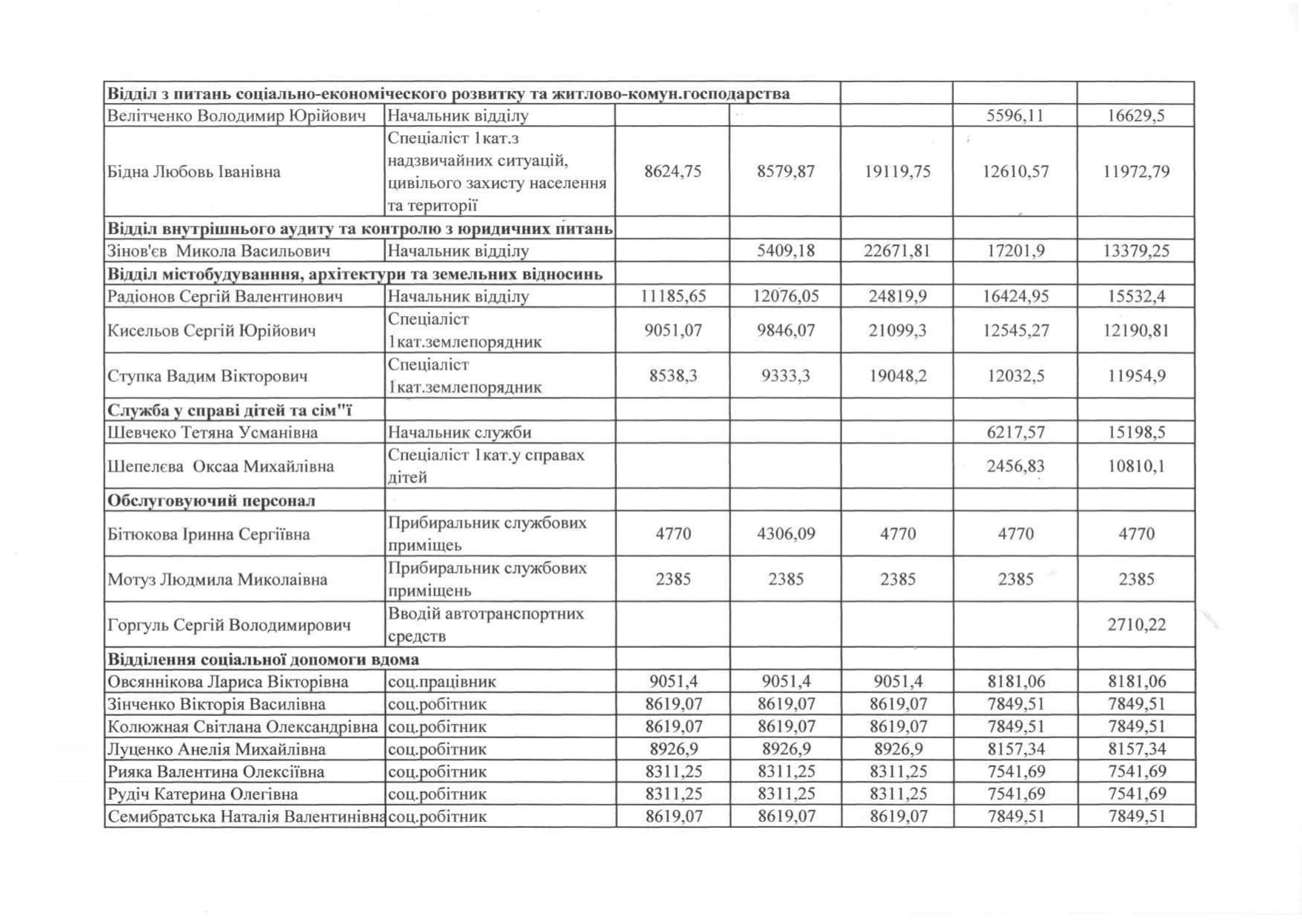
А найменшу зарплату за травень отримала прибиральник службових приміщень Людмила Мотуз – 2 тисяч 385 гривень.
